• LOGIN
  • русский
  • 中

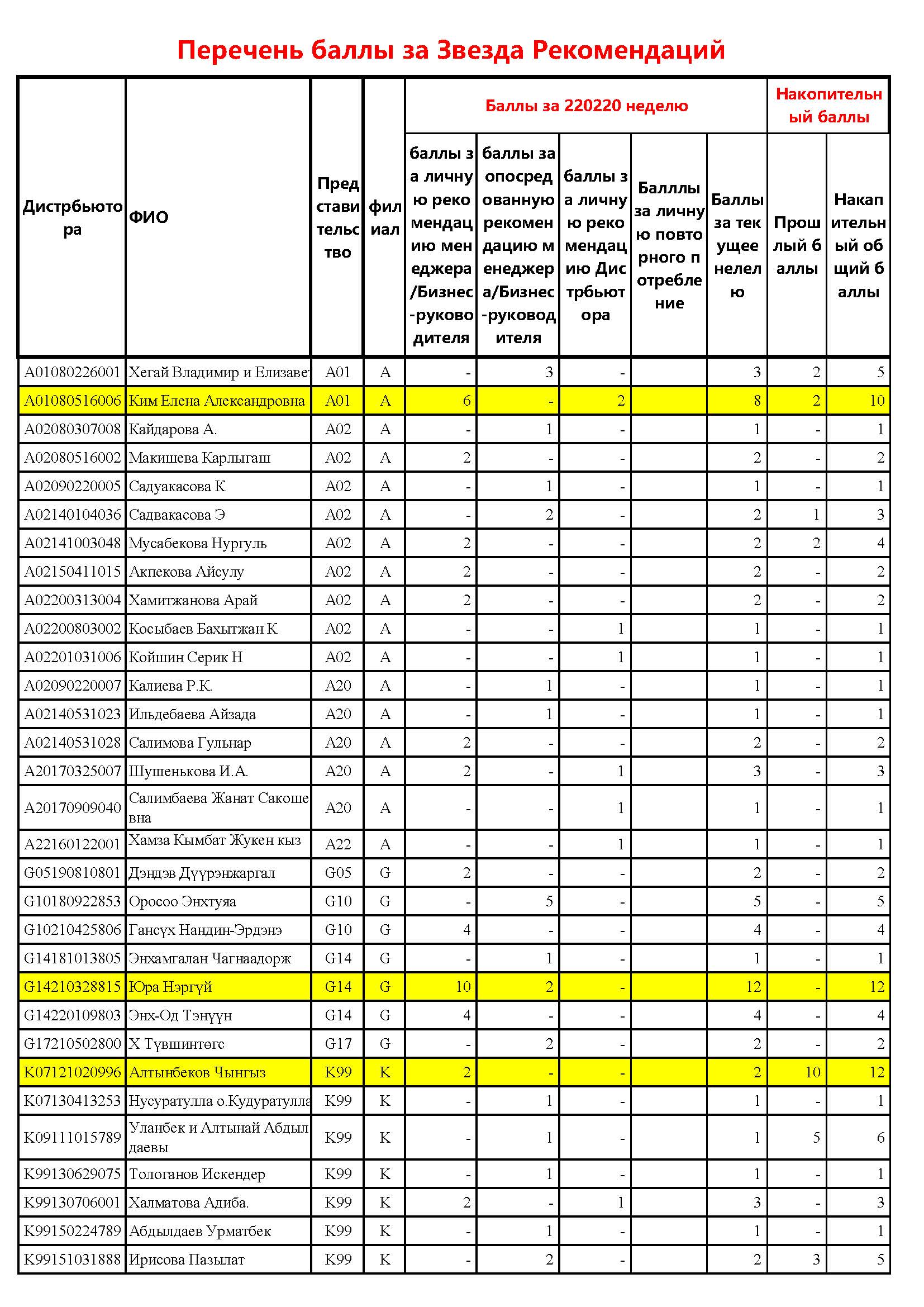
Групповое объявление-->Новости компании-->Рейтинг Звезда Рекомендация LUCKLIFE в 220220 неделю

Рейтинг Звезда Рекомендация LUCKLIFE в 220220 неделю

LUCKLIFE  2022-02-23

 

Информация о Корпорации

  • Новости компании
  • Уведомление компании
  • Видио материалы
  • Сертификаты и награды

Корпорация LUCKLIFE E-Mail: service@lucklife.net

Старый сайт